Lecture 24
Cornell University
INFO 2950 - Spring 2024
April 23, 2024
ae-22ae-22 (repo name will be suffixed with your GitHub name).To predict the outcome of a new data point:

How do we assess predictions here?
Root Mean Squared Error (RMSE)


High information gain per question (can it fly?)
Clear features (feathers vs. is it “small”?)
Order of features matters








parsnip1. Pick a model + engine
2. Set the mode (if needed)
parsnip nn children chi non cover
2 children [.77 .23] when average_daily_rate >= 130 37%
3 none [.35 .65] when average_daily_rate < 130 63%


Here is our very-vanilla parsnip model specification for a decision tree (also in your qmd)…
And a workflow:
For decision trees, no recipe really required 🎉
Fill in the blanks to return the accuracy and ROC AUC for this model using 10-fold cross-validation.
02:00
# A tibble: 3 × 6
.metric .estimator mean n std_err .config
<chr> <chr> <dbl> <int> <dbl> <chr>
1 accuracy binary 0.786 10 0.00706 Preprocessor1_…
2 brier_class binary 0.156 10 0.00417 Preprocessor1_…
3 roc_auc binary 0.833 10 0.00840 Preprocessor1_…
args()Print the arguments (hyperparameters) for a parsnip model specification.
decision_tree()Specifies a decision tree model
either mode works!
decision_tree()Specifies a decision tree model
set_args()Change the arguments for a parsnip model specification.
tree_depthCap the maximum tree depth.
A method to stop the tree early. Used to prevent overfitting.
min_nSet minimum n to split at any node.
Another early stopping method. Used to prevent overfitting.
What value of min_n would lead to the most overfit tree?
min_n = 1
parsnip arg |
rpart arg |
default | overfit? |
|---|---|---|---|
tree_depth |
maxdepth |
30 | ⬆️ |
min_n |
minsplit |
20 | ⬇️ |
cost_complexityAdds a cost or penalty to error rates of more complex trees.
A way to prune a tree. Used to prevent overfitting.
Closer to zero ➡️ larger trees.
Higher penalty ➡️ smaller trees.

Small pot
Strong shears

Small pot Early stopping
Strong shears Pruning
parsnip arg |
rpart arg |
default | overfit? |
|---|---|---|---|
tree_depth |
maxdepth |
30 | ⬆️ |
min_n |
minsplit |
20 | ⬇️ |
cost_complexity |
cp |
.01 | ⬇️ |
There is an inverse relationship between model accuracy and model interpretability.
Ensemble methods combine many simple “building block” models in order to obtain a single and potentially very powerful model.1
Decision trees suffer from high variance - small changes in the data can lead to very different trees
Bootstrap aggregation (or bagging) reduces the variance of a model by averaging the predictions of many models trained on different samples of the data.
To further improve performance over bagged trees, random forests introduce additional randomness in the model-building process to reduce the correlation across the trees.
rand_forest()Specifies a random forest model
either mode works!
rand_forest()Specifies a random forest model
Create a new parsnip model called rf_mod, which will learn an ensemble of classification trees from our training data using the ranger engine. Update your tree_wf with this new model.
Fit your workflow with 10-fold cross-validation and compare the ROC AUC of the random forest to your single decision tree model — which predicts the assessment set better?
Hint: you’ll need https://www.tidymodels.org/find/parsnip/
04:00
rf_mod <- rand_forest(engine = "ranger") |>
set_mode("classification")
rf_wf <- tree_wf |>
update_model(rf_mod)
set.seed(100)
rf_wf |>
fit_resamples(resamples = hotels_folds) |>
collect_metrics()# A tibble: 3 × 6
.metric .estimator mean n std_err .config
<chr> <chr> <dbl> <int> <dbl> <chr>
1 accuracy binary 0.832 10 0.00576 Preprocessor1_…
2 brier_class binary 0.122 10 0.00224 Preprocessor1_…
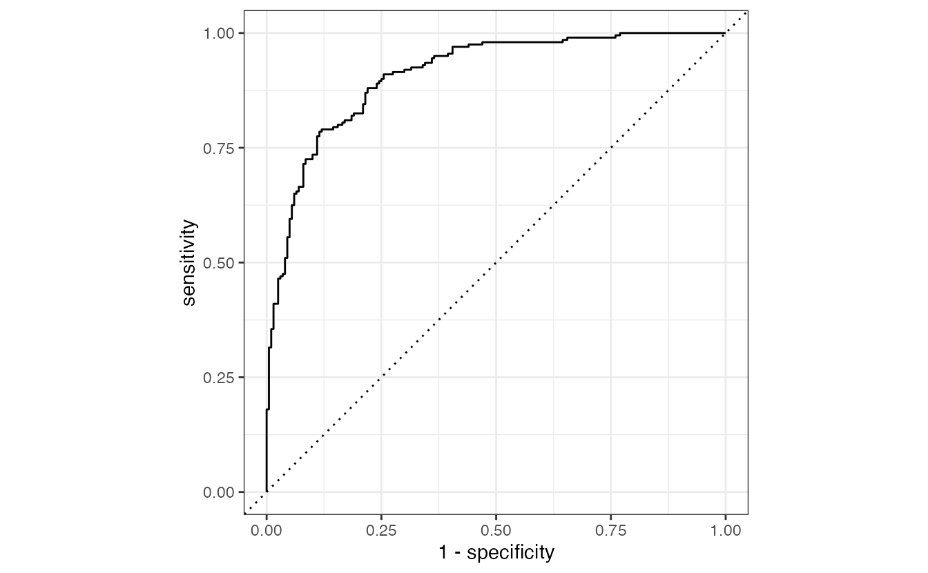
3 roc_auc binary 0.913 10 0.00382 Preprocessor1_…
mtryThe number of predictors that will be randomly sampled at each split when creating the tree models.
ranger default = floor(sqrt(num_predictors))
tree_mod <- decision_tree(engine = "rpart") |>
set_mode("classification")
tree_wf <- workflow() |>
add_formula(children ~ .) |>
add_model(tree_mod)
set.seed(100)
tree_res <- tree_wf |>
fit_resamples(
resamples = hotels_folds,
control = control_resamples(save_pred = TRUE)
)
tree_res |>
collect_metrics()# A tibble: 3 × 6
.metric .estimator mean n std_err .config
<chr> <chr> <dbl> <int> <dbl> <chr>
1 accuracy binary 0.786 10 0.00706 Preprocessor1_…
2 brier_class binary 0.156 10 0.00417 Preprocessor1_…
3 roc_auc binary 0.833 10 0.00840 Preprocessor1_…
rf_mod <- rand_forest(engine = "ranger") |>
set_mode("classification")
rf_wf <- tree_wf |>
update_model(rf_mod)
set.seed(100)
rf_res <- rf_wf |>
fit_resamples(
resamples = hotels_folds,
control = control_resamples(save_pred = TRUE)
)
rf_res |>
collect_metrics()# A tibble: 3 × 6
.metric .estimator mean n std_err .config
<chr> <chr> <dbl> <int> <dbl> <chr>
1 accuracy binary 0.832 10 0.00576 Preprocessor1_…
2 brier_class binary 0.122 10 0.00224 Preprocessor1_…
3 roc_auc binary 0.913 10 0.00382 Preprocessor1_…
Challenge: Fit 3 more random forest models, each using 5, 12, and 21 variables at each split. Update your rf_wf with each new model. Which value maximizes the area under the ROC curve?
03:00
rf5_wf <- rf_wf |>
update_model(rf5_mod)
set.seed(100)
rf5_wf |>
fit_resamples(resamples = hotels_folds) |>
collect_metrics()# A tibble: 3 × 6
.metric .estimator mean n std_err .config
<chr> <chr> <dbl> <int> <dbl> <chr>
1 accuracy binary 0.833 10 0.00512 Preprocessor1_…
2 brier_class binary 0.121 10 0.00232 Preprocessor1_…
3 roc_auc binary 0.914 10 0.00392 Preprocessor1_…
rf12_wf <- rf_wf |>
update_model(rf12_mod)
set.seed(100)
rf12_wf |>
fit_resamples(resamples = hotels_folds) |>
collect_metrics()# A tibble: 3 × 6
.metric .estimator mean n std_err .config
<chr> <chr> <dbl> <int> <dbl> <chr>
1 accuracy binary 0.828 10 0.00489 Preprocessor1_…
2 brier_class binary 0.122 10 0.00252 Preprocessor1_…
3 roc_auc binary 0.909 10 0.00402 Preprocessor1_…
rf21_wf <- rf_wf |>
update_model(rf21_mod)
set.seed(100)
rf21_wf |>
fit_resamples(resamples = hotels_folds) |>
collect_metrics()# A tibble: 3 × 6
.metric .estimator mean n std_err .config
<chr> <chr> <dbl> <int> <dbl> <chr>
1 accuracy binary 0.824 10 0.00566 Preprocessor1_…
2 brier_class binary 0.124 10 0.00261 Preprocessor1_…
3 roc_auc binary 0.906 10 0.00403 Preprocessor1_…
tunetuneFunctions for fitting and tuning models
tune()A placeholder for hyper-parameters to be “tuned”
tune_grid()A version of fit_resamples() that performs a grid search for the best combination of tuned hyper-parameters.
tune_grid()A version of fit_resamples() that performs a grid search for the best combination of tuned hyper-parameters.
tune_grid()A version of fit_resamples() that performs a grid search for the best combination of tuned hyper-parameters.
Here’s our random forest model plus workflow to work with.
Here is the output from fit_resamples()…
set.seed(100) # Important!
rf_results <- rf_wf |>
fit_resamples(resamples = hotels_folds)
rf_results |>
collect_metrics()# A tibble: 3 × 6
.metric .estimator mean n std_err .config
<chr> <chr> <dbl> <int> <dbl> <chr>
1 accuracy binary 0.832 10 0.00576 Preprocessor1_…
2 brier_class binary 0.122 10 0.00224 Preprocessor1_…
3 roc_auc binary 0.913 10 0.00382 Preprocessor1_…
Edit the random forest model to tune the mtry and min_n hyperparameters.
Update your workflow to use the tuned model.
Then use tune_grid() to find the best combination of hyper-parameters to maximize roc_auc; let tune set up the grid for you.
How does it compare to the average ROC AUC across folds from fit_resamples()?
05:00
# A tibble: 30 × 8
mtry min_n .metric .estimator mean n std_err
<int> <int> <chr> <chr> <dbl> <int> <dbl>
1 9 28 accuracy binary 0.831 10 0.00506
2 9 28 brier_class binary 0.123 10 0.00231
3 9 28 roc_auc binary 0.909 10 0.00379
4 7 36 accuracy binary 0.834 10 0.00525
5 7 36 brier_class binary 0.124 10 0.00220
6 7 36 roc_auc binary 0.909 10 0.00380
7 12 21 accuracy binary 0.826 10 0.00543
8 12 21 brier_class binary 0.123 10 0.00238
9 12 21 roc_auc binary 0.908 10 0.00389
10 2 13 accuracy binary 0.818 10 0.00672
# ℹ 20 more rows
# ℹ 1 more variable: .config <chr>
# A tibble: 300 × 7
id mtry min_n .metric .estimator .estimate .config
<chr> <int> <int> <chr> <chr> <dbl> <chr>
1 Fold01 9 28 accuracy binary 0.825 Prepro…
2 Fold01 9 28 roc_auc binary 0.919 Prepro…
3 Fold01 9 28 brier_cl… binary 0.117 Prepro…
4 Fold02 9 28 accuracy binary 0.842 Prepro…
5 Fold02 9 28 roc_auc binary 0.913 Prepro…
6 Fold02 9 28 brier_cl… binary 0.121 Prepro…
7 Fold03 9 28 accuracy binary 0.847 Prepro…
8 Fold03 9 28 roc_auc binary 0.906 Prepro…
9 Fold03 9 28 brier_cl… binary 0.123 Prepro…
10 Fold04 9 28 accuracy binary 0.825 Prepro…
# ℹ 290 more rows
tune_grid()A version of fit_resamples() that performs a grid search for the best combination of tuned hyper-parameters.
expand_grid()Takes one or more vectors, and returns a data frame holding all combinations of their values.
show_best()Shows the n most optimum combinations of hyper-parameters
# A tibble: 5 × 8
mtry min_n .metric .estimator mean n std_err .config
<int> <int> <chr> <chr> <dbl> <int> <dbl> <chr>
1 3 15 roc_auc binary 0.911 10 0.00404 Prepro…
2 8 20 roc_auc binary 0.910 10 0.00405 Prepro…
3 7 36 roc_auc binary 0.909 10 0.00380 Prepro…
4 13 8 roc_auc binary 0.909 10 0.00393 Prepro…
5 9 28 roc_auc binary 0.909 10 0.00379 Prepro…
autoplot()Quickly visualize tuning results
fit_best()tune() placeholders in a model/recipe/workflow with a set of hyper-parameter values
We are ready to touch the jewels…
The testing set!
Use fit_best() to take the best combination of hyper-parameters from rf_results and use them to predict the test set.
How does our actual test ROC AUC compare to our cross-validated estimate?
05:00
hotels_best <- fit_best(rf_results)
# cross validated ROC AUC
rf_results |>
show_best(metric = "roc_auc", n = 1)# A tibble: 1 × 8
mtry min_n .metric .estimator mean n std_err .config
<int> <int> <chr> <chr> <dbl> <int> <dbl> <chr>
1 3 15 roc_auc binary 0.911 10 0.00404 Prepro…
# test set ROC AUC
bind_cols(
hotels_test,
predict(hotels_best, new_data = hotels_test, type = "prob")
) |>
roc_auc(truth = children, .pred_children)# A tibble: 1 × 3
.metric .estimator .estimate
<chr> <chr> <dbl>
1 roc_auc binary 0.910
# here comes the actual ML bits…
# pick model to tune
rf_tuner <- rand_forest(
engine = "ranger",
mtry = tune(),
min_n = tune()
) |>
set_mode("classification")
rf_wf <- workflow() |>
add_formula(children ~ .) |>
add_model(rf_tuner)
rf_results <- rf_wf |>
tune_grid(
resamples = hotels_folds,
control = control_grid(
save_pred = TRUE,
save_workflow = TRUE
)
)rf_results |>
collect_predictions() |>
group_by(.config, mtry, min_n) |>
summarize(folds = n_distinct(id))# A tibble: 10 × 4
# Groups: .config, mtry [10]
.config mtry min_n folds
<chr> <int> <int> <int>
1 Preprocessor1_Model01 6 37 10
2 Preprocessor1_Model02 9 35 10
3 Preprocessor1_Model03 3 27 10
4 Preprocessor1_Model04 15 18 10
5 Preprocessor1_Model05 17 22 10
6 Preprocessor1_Model06 9 15 10
7 Preprocessor1_Model07 1 3 10
8 Preprocessor1_Model08 13 10 10
9 Preprocessor1_Model09 20 32 10
10 Preprocessor1_Model10 16 6 10
# A tibble: 5 × 8
mtry min_n .metric .estimator mean n
<int> <int> <chr> <chr> <dbl> <int>
1 9 15 roc_auc binary 0.910 10
2 6 37 roc_auc binary 0.910 10
3 13 10 roc_auc binary 0.909 10
4 3 27 roc_auc binary 0.909 10
5 9 35 roc_auc binary 0.908 10
# ℹ 2 more variables: std_err <dbl>,
# .config <chr>
# pick final model workflow
hotels_best <- rf_results |>
select_best(metric = "roc_auc")
hotels_best# A tibble: 1 × 3
mtry min_n .config
<int> <int> <chr>
1 9 15 Preprocessor1_Model06

# fit using best hyperparameter values
# and full training set
best_rf <- fit_best(rf_results)
best_rf══ Workflow [trained] ══════════════════════════════════════════════════════════
Preprocessor: Formula
Model: rand_forest()
── Preprocessor ────────────────────────────────────────────────────────────────
children ~ .
── Model ───────────────────────────────────────────────────────────────────────
Ranger result
Call:
ranger::ranger(x = maybe_data_frame(x), y = y, mtry = min_cols(~9L, x), min.node.size = min_rows(~15L, x), num.threads = 1, verbose = FALSE, seed = sample.int(10^5, 1), probability = TRUE)
Type: Probability estimation
Number of trees: 500
Sample size: 3600
Number of independent variables: 21
Mtry: 9
Target node size: 15
Variable importance mode: none
Splitrule: gini
OOB prediction error (Brier s.): 0.1209798

